• Предмет: Математика
  • Автор: varvara08327a
  • Вопрос задан 7 лет назад

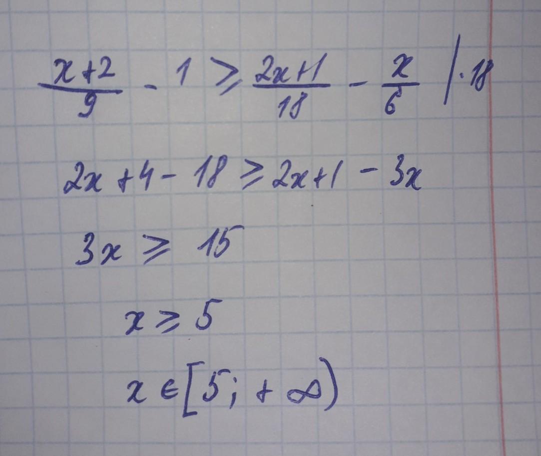
3. Решите уравнение помогите пж фоткай​

Приложения:

Ответы

Ответ дал: mariakacurova47
2

извиняюсь, в первом фото, пропустила (-1), сейчас исправлю(2 фото).

Приложения:

K0rl1k: Там в примере еще -1 присутствует
K0rl1k: Если условие не строгое, то в квадратных скобках, так как значение тоже входит в решение
Ответ дал: K0rl1k
1

Ответ: Смотри на фото

Пошаговое объяснение:

Наверно так...

Приложения:
Вас заинтересует