• Предмет: Алгебра
  • Автор: Аноним
  • Вопрос задан 11 лет назад

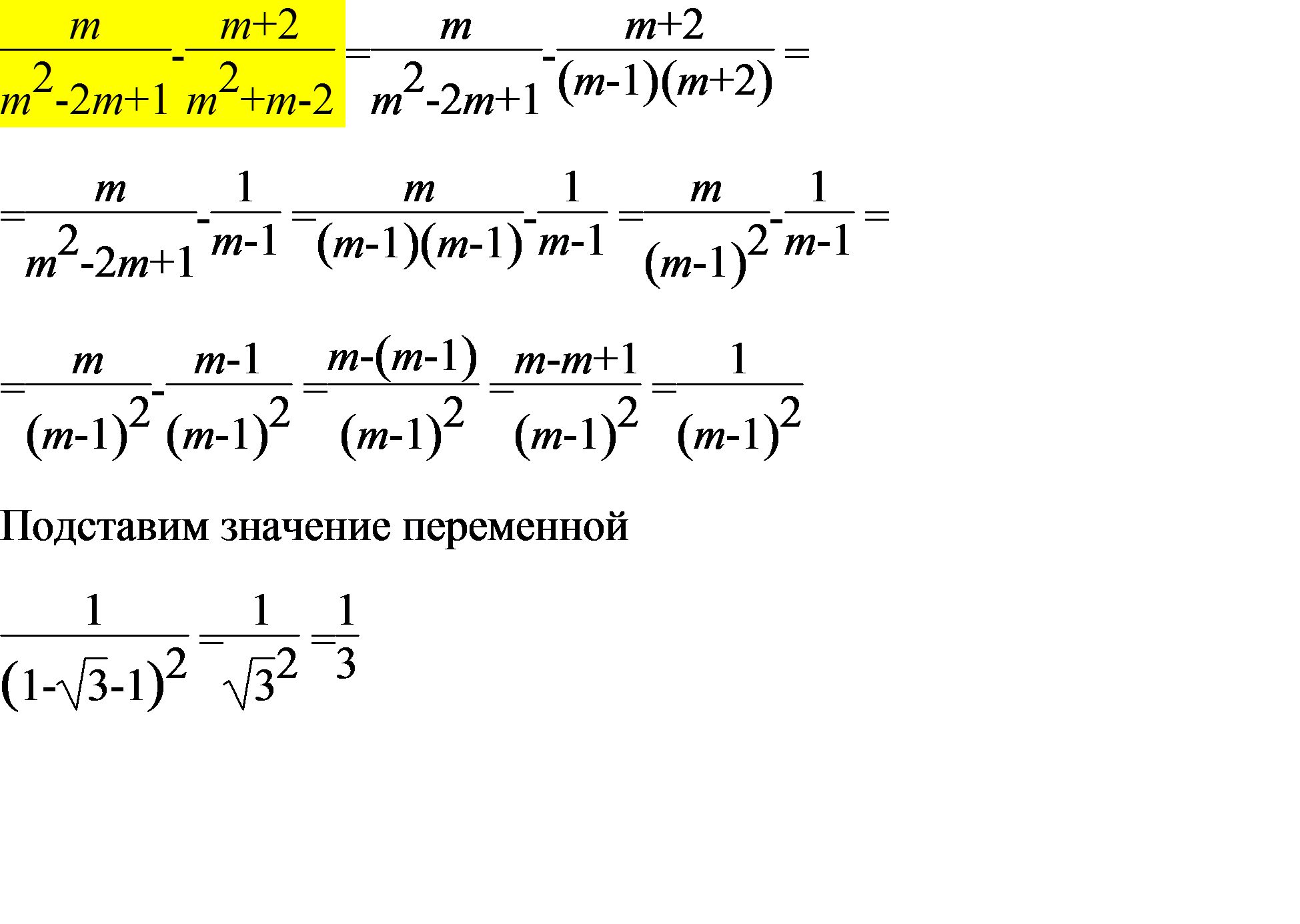
Наидите значение вражения:

Приложения:

Ответы

Ответ дал: triolana
0

файл

====================

Приложения:
Вас заинтересует