• Предмет: Алгебра
  • Автор: leravasilati
  • Вопрос задан 7 лет назад

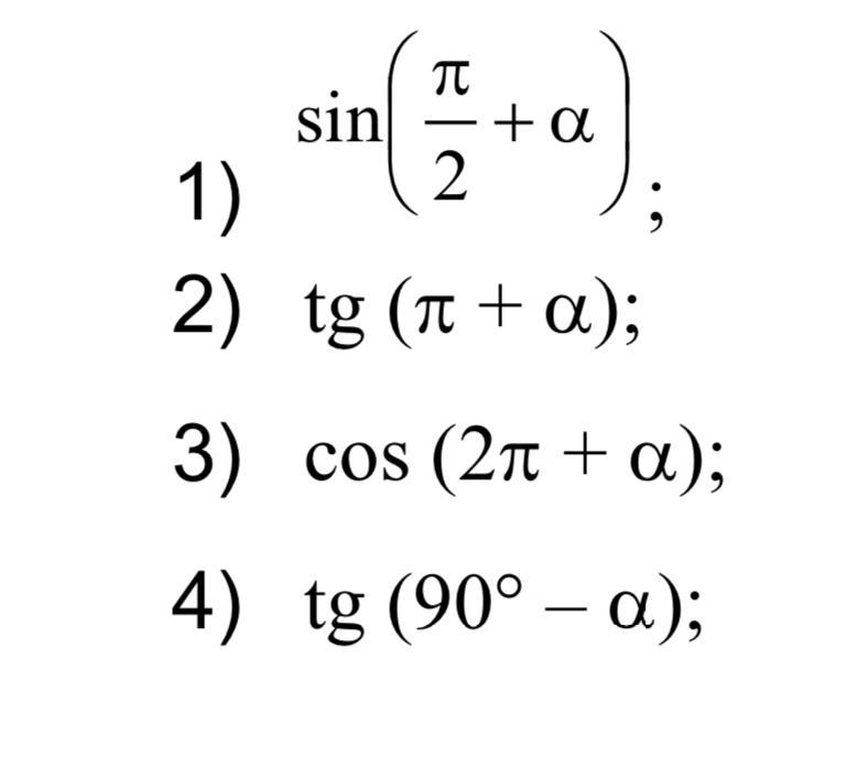
Приведите к тригонометрической функции угла

Приложения:

Ответы

Ответ дал: fenix6810
0

sin(П/2+a)=cosa
tg(П+a)=tga
cos(2П+a)=cosa
tg(90-a)=ctga
Вас заинтересует