• Предмет: Алгебра
  • Автор: leravasilati
  • Вопрос задан 7 лет назад

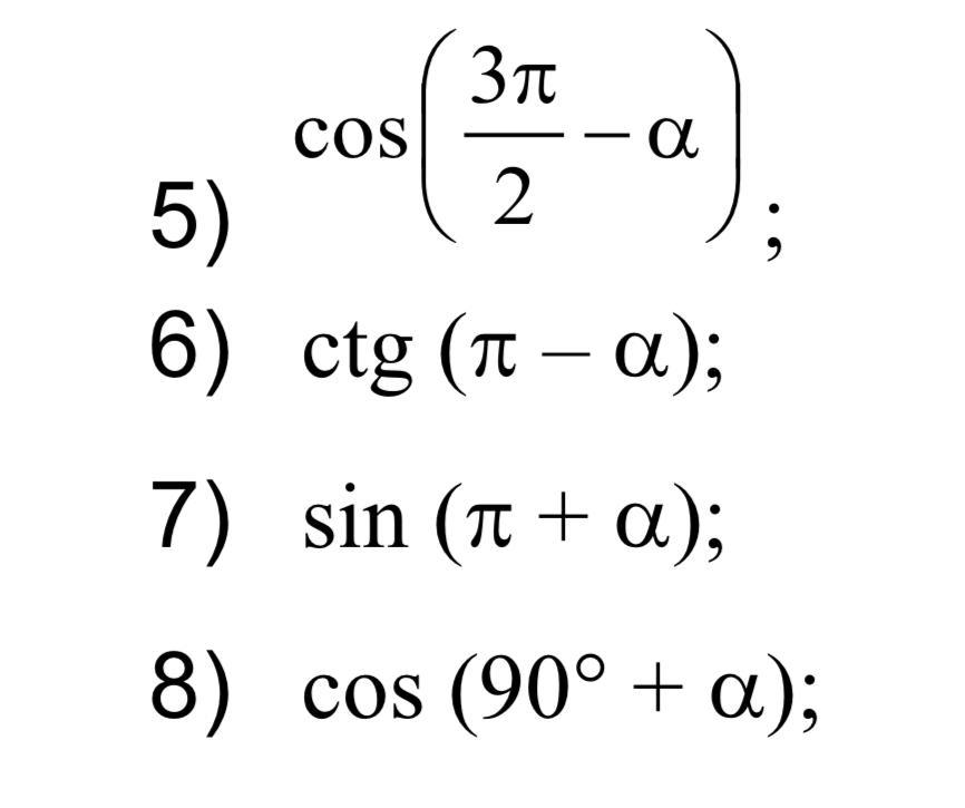
Приведите к тригонометрической функции угла

Приложения:

Ответы

Ответ дал: fenix6810
1

cos(3П/2-a)=-sina
ctg(П-a)=-ctga
sin(П+a)=-sina
cos(90+a)=-sina
Вас заинтересует