помогите пожалуйста срочно нужно срочно нужнооо помогите пожалуйста срочно нужно срочно нужноо
Нужно разложить на множители многочлен типа :а²+2аb+b², a²-2ab+b²
Приложения:

Ответы
Ответ дал:
0
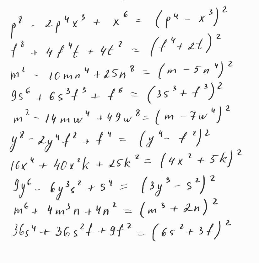
Решение представлено на фото
Приложения:


marinavamos3:
можете пожалуйста расписать?
Вас заинтересует
2 года назад
2 года назад
8 лет назад
8 лет назад