Ответы
Ответ дал:
0
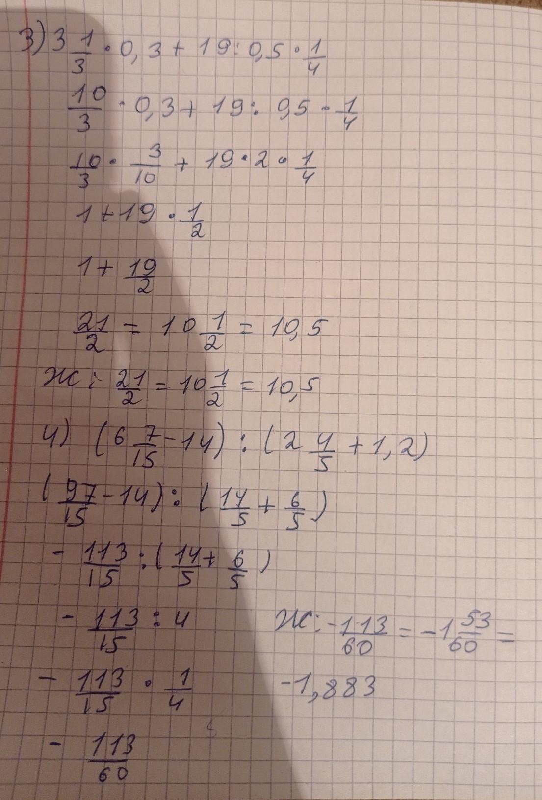
Надеюсь помогла.Очень все-таки сложные задания в 6 классе....Извиняюсь за почерк
Приложения:



polololalo:
А почему только первое? А второе, третье, четвертое?
Ответ дал:
0
Пошаговое объяснение:
- все окей но верно математика
Приложения:


Вас заинтересует
2 года назад
2 года назад
2 года назад
8 лет назад
8 лет назад
9 лет назад