• Предмет: Алгебра
  • Автор: bajsmakovamadina
  • Вопрос задан 7 лет назад

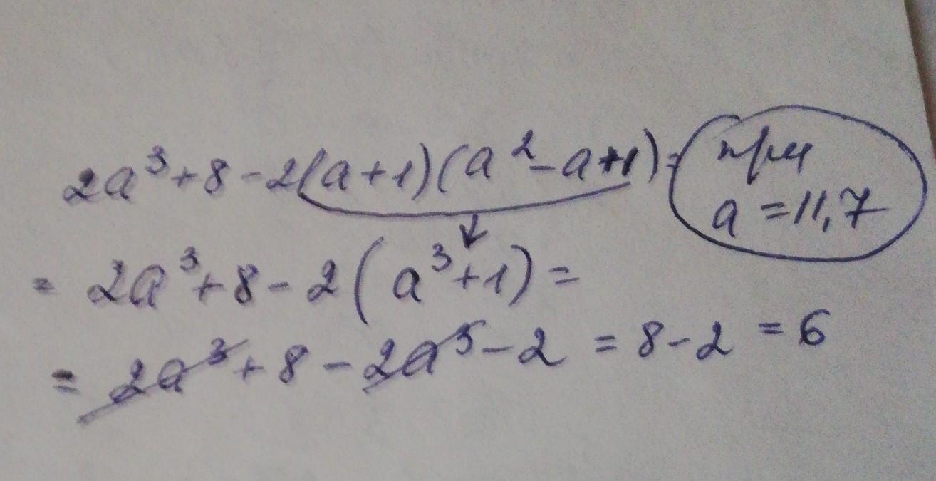
2а^3+8-2(а+1)(а^2-а+1)если а=11,7​

Ответы

Ответ дал: sadykovanatalya2004
1

Ответ:

2а³+8-2(а+1)(а²-а+1)=2а³+8-2(а³+1)=2а³+8-2а³-2=8-2=6

Объяснение:

a³+b³=(a+b)(a²-ab+b²)

Ответ дал: larisaserova53
1

Ответ:

Смотри решение на фото...

Приложения:

larisaserova53: "а" все сократились, поэтому а=11,7не понадобилась
btstaetae997: прошу, помогите пожалуйста
btstaetae997: с моим последним вопросом
Вас заинтересует