• Предмет: Математика
  • Автор: amonus55556
  • Вопрос задан 7 лет назад

Пожалуйста помогите сделайте больше 3-х вопросов

Приложения:

Ответы

Ответ дал: KingArtur1000
1

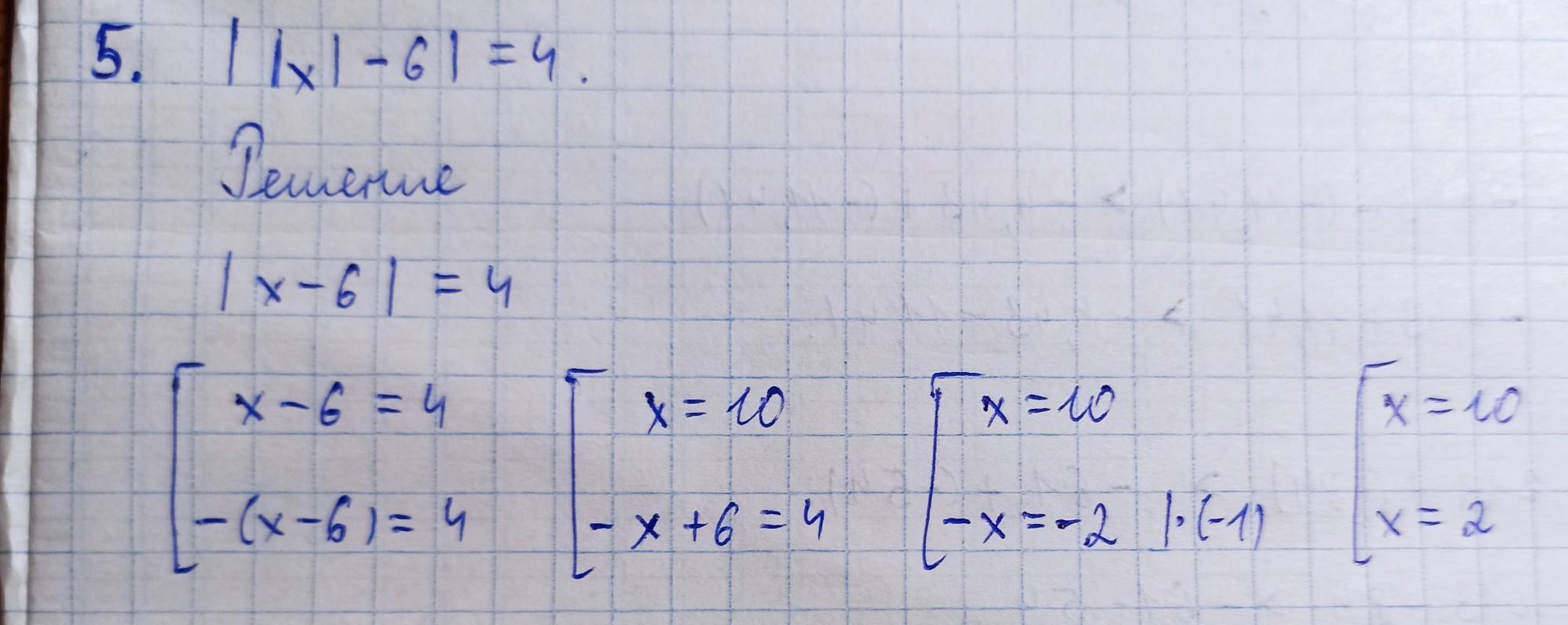
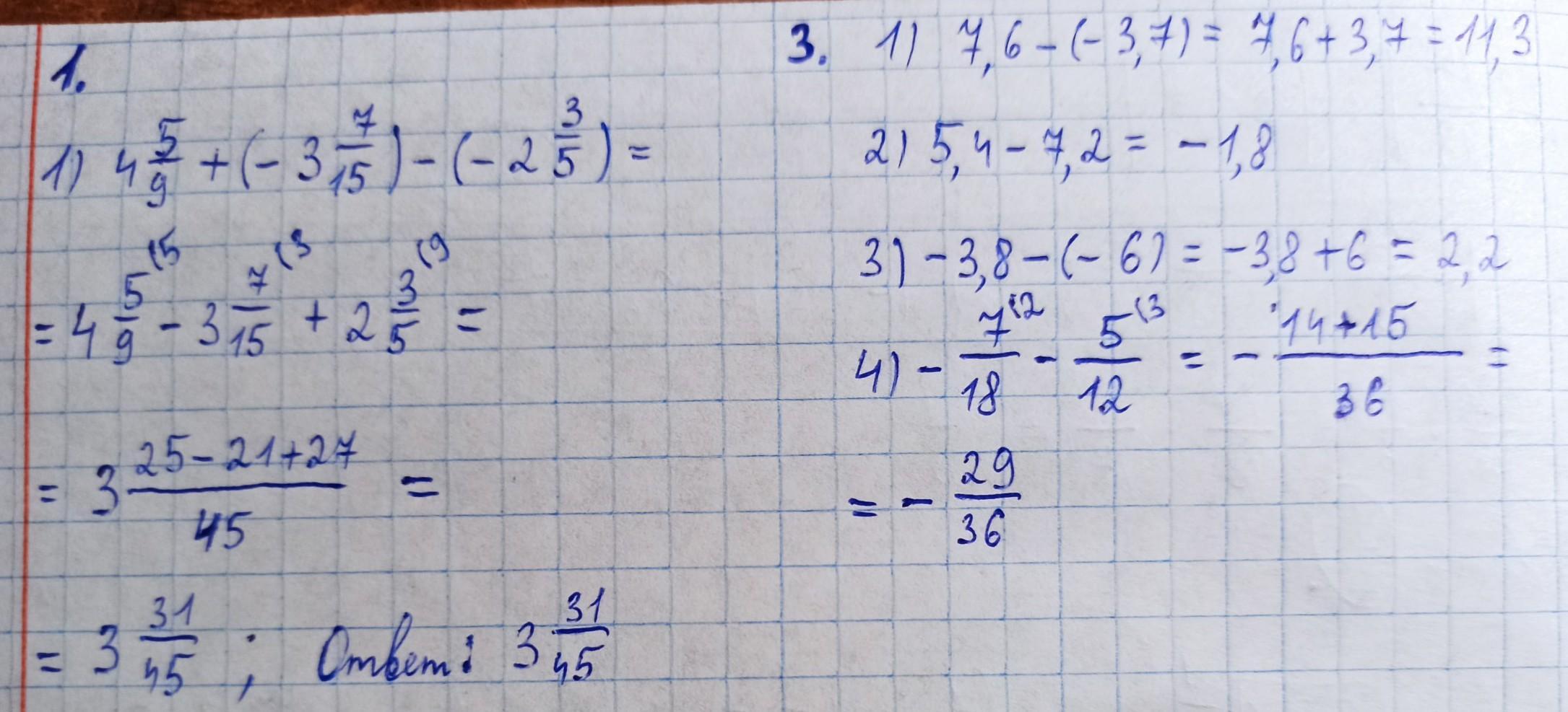
Смотрите решение в прикреплённых файлах.

Приложения:

amonus55556: Благодарю
Вас заинтересует