Ответы
Ответ дал:
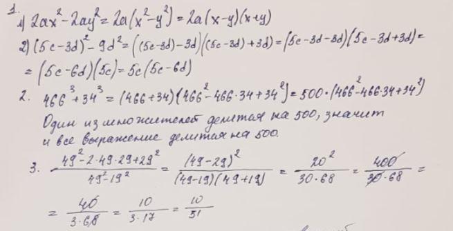
1
Ответ:
Объяснение:
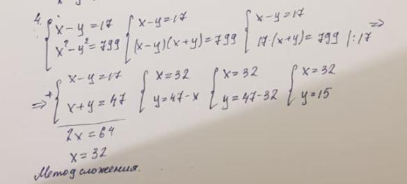
4. Составим систему уравнений и решим ее. Используется метод сложения
Приложения:


Вас заинтересует
2 года назад
2 года назад
2 года назад
8 лет назад
8 лет назад
9 лет назад
9 лет назад