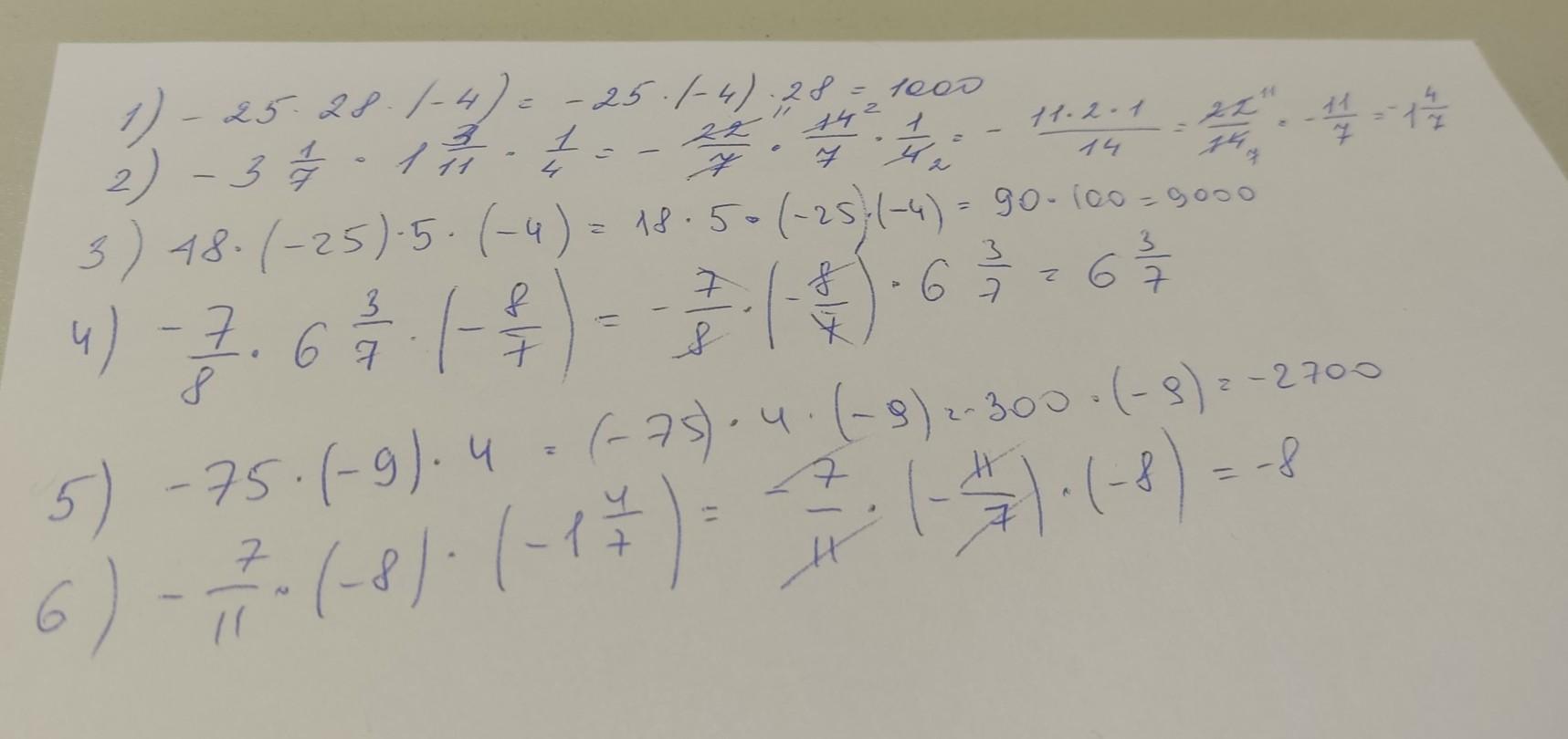
Вычислите удобным способом, используя перемести тельный закон:
1) -25 · 28 · (-4); 23.00 -1 5) -75 (-9) - 4: 4) - 63 (4) 2 ) 2) -37.117;t-1 - . 3) 18 - (-25) · 5 · (-4); 6) - (-8) - (-5). (. 11
Приложения:

Ответы
Ответ дал:
11
Ответ:
смотри фото
Пошаговое объяснение:
смотри фото
Приложения:

Вас заинтересует
2 года назад
2 года назад
2 года назад
8 лет назад
9 лет назад