• Предмет: Математика
  • Автор: ominaislamova041
  • Вопрос задан 7 лет назад

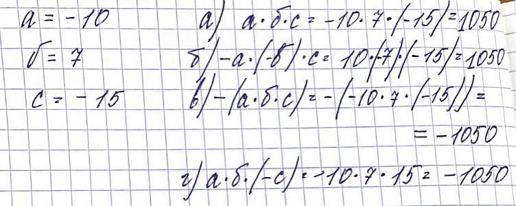
найдите произведение 1)а*б*с, 2)-а*(-б)*с ,3)-(а*б*с ) 4а*б*(-с) ,если а=-10,б=7 ,с=-15 дам 15 баллов ​срочно пожалуйста пожалуйста пожалуйста пожалуйста пожалуйста пожалуйста пожалуйста пожалуйста пожалуйста пожалуйста пожалуйста пожалуйста пожалуйста пожалуйста пожалуйста пожалуйста пожалуйста пожалуйста пожалуйста пожалуйста пожалуйста пожалуйста пожалуйста пожалуйста пожалуйста пожалуйста пожалуйста пожалуйста пожалуйста пожалуйста пожалуйста пожалуйста пожалуйста пожалуйста пожалуйста пожалуйста пожалуйста пожалуйста пожалуйста пожалуйста пожалуйста пожалуйста пожалуйста пожалуйста пожалуйста пожалуйста пожалуйста пожалуйста пожалуйста пожалуйста пожалуйста пожалуйста пожалуйста пожалуйста пожалуйста пожалуйста пожалуйста пожалуйста пожалуйста пожалуйста сделаю лучший ответом и поставлю лайк

Ответы

Ответ дал: nightcat2000
1
Все расписано на фотографии:)
Приложения:

ominaislamova041: спасибо
Вас заинтересует