• Предмет: Алгебра
  • Автор: menlucky665
  • Вопрос задан 7 лет назад

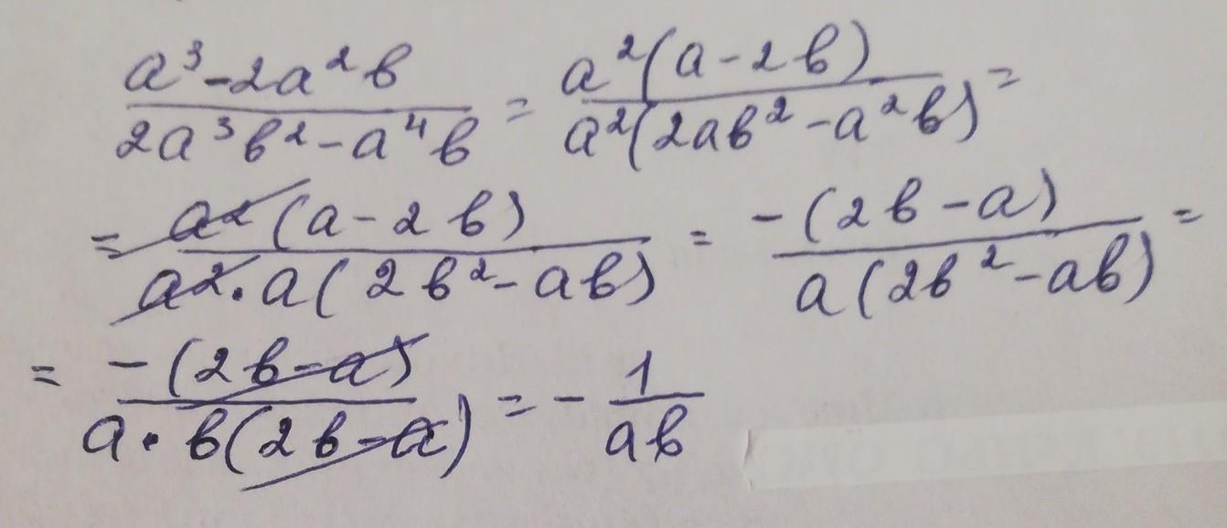
a³ - 2 a²b/ 2a³b²-a⁴b​

Ответы

Ответ дал: larisaserova53
0

Ответ:

Смотри решение на фото...

Приложения:
Ответ дал: fenix6810
0

a³ - 2 a²b/ 2a³b²-a⁴b​=a^2(a-2b)/a^3b(2b-a)=-a^2/a^3b=-1/ab
Вас заинтересует