• Предмет: Математика
  • Автор: dmitrievnaelena568
  • Вопрос задан 7 лет назад

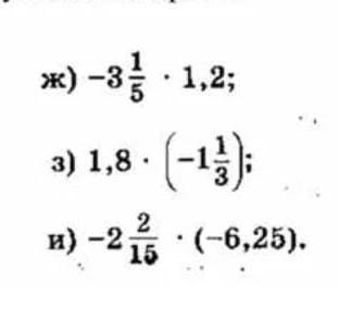
помогите пожалуйста...​

Приложения:

Ответы

Ответ дал: cassiopeiast
1

Ответ:

ж) -3,84

з) -2,4

и) 13,3

для проверки можно использовать приложение photomath ;)

Приложения:
Вас заинтересует