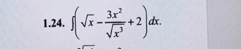
Пожалуйста помогите решить интегралы (желательно с объяснением и формулами),задания на прикрепленных фото
Приложения:


chernetskaya007alina:
Ребятушки выручите пожалуйста,я болела и не совсем поняла тему,а завтра контроша
Ответы
Ответ дал:
1
***
{Замена: пусть t = 6-5x => dt = d(6-5x) = -5dx}
***
Вас заинтересует
2 года назад
2 года назад
2 года назад
8 лет назад
8 лет назад
9 лет назад