• Предмет: Математика
  • Автор: mororsofia
  • Вопрос задан 7 лет назад

помогите решить пожалуйста срочно!!​

Приложения:

mororsofia: помогите пожалуйста, это очень срочно!!

Ответы

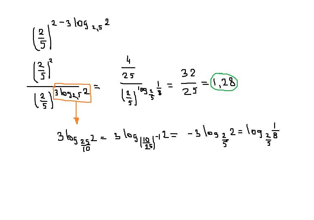
Ответ дал: Pomo6nik
1

Ответ:

1,28

Пошаговое объяснение:

На рисунке!

Приложения:

mororsofia: спасибо большое!!❤️
Pomo6nik: ❤️
Вас заинтересует