• Предмет: Математика
  • Автор: Аноним
  • Вопрос задан 7 лет назад

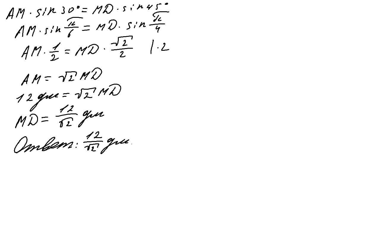
В треугольнике ADM: AM=12дм угол А=30°, угол D=45° Найдите DM.

Ответы

Ответ дал: ivanivanov200200200
2

Ответ: Решение и ответ приведены в прикреплённых файлах.

Пошаговое объяснение:

Приложения:

Аноним: БОЛЬШОЕ СПАСИБО
Вас заинтересует