• Предмет: Алгебра
  • Автор: Miralinda
  • Вопрос задан 11 лет назад

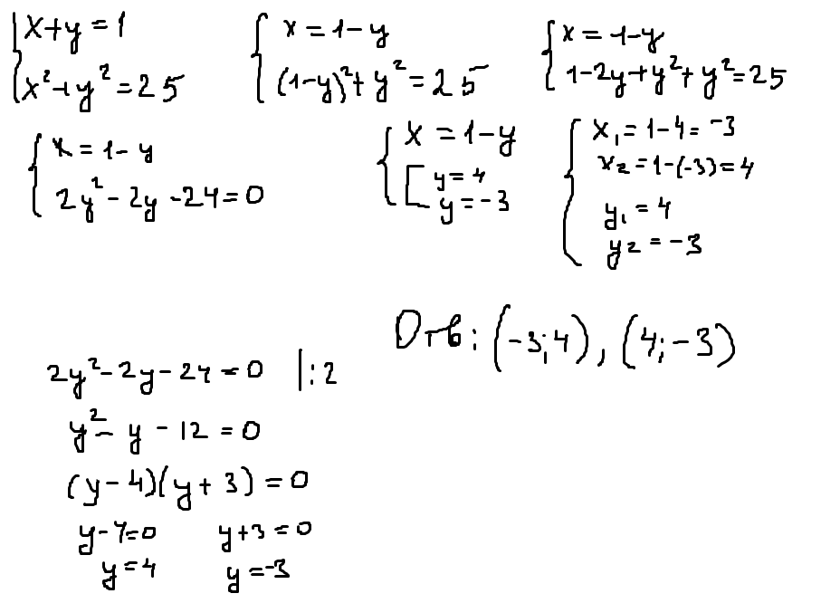
х+у=1
х (квадрат)+у (квадрат)=25

Ответы

Ответ дал: esmilya
0
Если понравилось решение - нажимай "спасибо" и "лучший" (рядом с кнопкой "спасибо") :)
Приложения:
Вас заинтересует