• Предмет: Математика
  • Автор: dkmaildasha
  • Вопрос задан 7 лет назад

Очень срочно, нужна помощь(

Приложения:

Ответы

Ответ дал: pomogiteyastudent
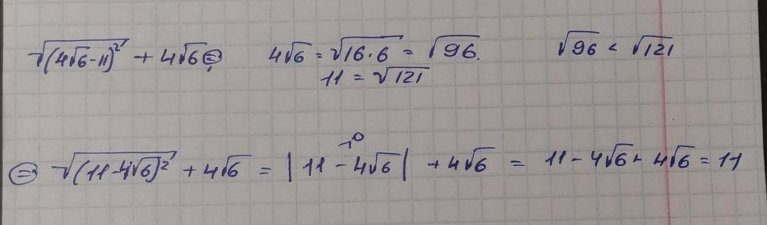
1
Степень корня и показатель степени сокращаешь, из скобок выносишь минус. 4 на корень из 6 исчезает у тебя. Ответ 11
Приложения:
Ответ дал: cor1eone
1

Доброго времени суток.

Решение во вложении.

Приложения:
Вас заинтересует