• Предмет: Алгебра
  • Автор: csgo234905084
  • Вопрос задан 7 лет назад

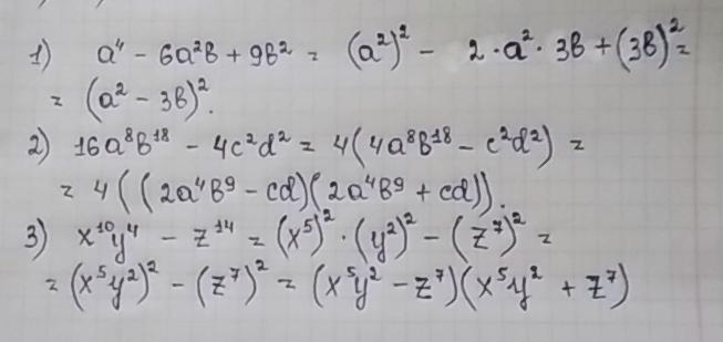
Разложите на множители
1) a⁴-6a²b+9b²
2) 16a⁸b¹⁸-4c²d²
3) x¹⁰y⁴-z¹⁴

Ответы

Ответ дал: gamesfarhad
1

a {}^{4}  - 6a {}^{2} b + 9b {}^{2} = (a {}^{2}  - 3b) {}^{2}

16 {a}^{8}  {b}^{18}  - 4c {}^{2}d {}^{2}   = 4(4a {}^{8} b {}^{18}  - c {}^{2} d {}^{2} ) = 4(2a {}^{4} b {}^{9}  - cd)(2a {}^{4} b {}^{9}   + cd)

x {}^{10} y {}^{4}  - z {}^{14}  = (x {}^{5} y {}^{2}  - z {}^{7} )(x {}^{5} y {}^{2}  + z {}^{7} )

Ответ дал: annagubata1359
1
Відповідь.
Пояснення:

Приложения:
Вас заинтересует