ЗАДАНИЕ 1:
Решить систему уравнений:
x-y=5
y+z=4
x+3y-2z=9
ЗАДАНИЕ 2:
Решите системы уравнений методом домножения и сложения: НОМЕР 2 НА КАРТИНКАХ
100 БАЛЛОВ ДАЮ
Приложения:


Ответы
Ответ дал:
1
Ответ: 1. x=7; у=2; z=2
2. а₁=2;b₁=1;
а₂=2;b₂=1
3. (-2/3; 5)
Объяснение: во вложении
Приложения:

Ответ дал:
1
Ответ:
ЗАДАНИЕ 1:
(x,y,z) = (7,2,2).
ЗАДАНИЕ 2:
НОМЕР 1:
(a1;b1) = (2;-1)
(a1;b2) = (2;1)
НОМЕР 2:
(x;y) =
Объяснение:
ЗАДАНИЕ 1:
Извини, но знака системы для 3-x множителей, я не нашел, поэтому пофантазируй.
x-y=5
y+z=4
x+3y-2z=9
- Будем решать методом подстановки:
x = 5+y
y+z=4
x+3y-2z=9
- Подставим значение x:
y+z=4
5+y+3y-2z=9
- Упрощаем:
y+z=4
4y-2z=4 //Делим на 2
y+z=4
2y-z=2
- Здесь решаем способ сложения:
y+z=4
3y = 6 ; y = 2
- Подставляем значение y:
2+z = 4 ; z = 2
- Подставляем значение y для другого уравнения:
x = 5+y ; x = 5+2 ; x = 7.
ОТВЕТ:(x,y,z) = (7,2,2).
ЗАДАНИЕ 2:
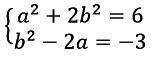
НОМЕР 1:
- Домножаем 2-е уравнение на -2:
- Складываем:
- Решаем квадратное уравнение:
- Подставляем a(ко второму уравнению, которое еще не домножали):
- Решаем уравнения:
//Квадрат не может быть отрицательным, поэтому a = -6 не подходит.
//Подходит.
ОТВЕТ:
(a1;b1) = (2;-1)
(a1;b2) = (2;1)
НОМЕР 2:
- Домножим 1-е уравнение на -5:
- Метод сложения:
- Подставляем y(к первому изначальному уравнению):
ОТВЕТ: (x;y) =
Arthurf:
Можно лучший ответ, пожалуйста?)
Вас заинтересует
2 года назад
2 года назад
2 года назад
2 года назад
8 лет назад
8 лет назад
9 лет назад
9 лет назад