• Предмет: Алгебра
  • Автор: logashevaelena
  • Вопрос задан 7 лет назад

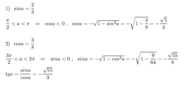
Найти cos a, е ли sin a = 2/3 и пи/2 < a < пи
Найти tg a, если cos a = 3/8 и 3 пи/2 < a < 2 пи
Найти ctg a, если cos a = 7/ корень 149 и 0 < a < пи / 2

Ответы

Ответ дал: NNNLLL54
1

Ответ:

                         sin^2a+cos^2a=1

Приложения:
Вас заинтересует