• Предмет: Алгебра
  • Автор: kseniianemigalova
  • Вопрос задан 7 лет назад

Решите ПОЖАЛУЙСТА!!!ОЧЕНЬ СРОЧНО!!! и если можно ПОДРОБНО!!!

Приложения:

Ответы

Ответ дал: chikmaslin
0

Объяснение:

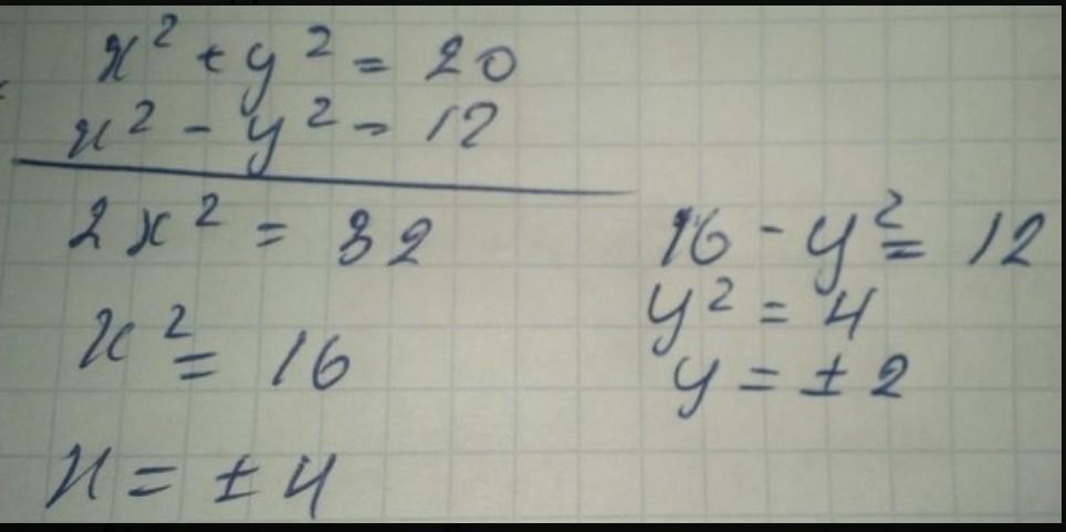
1.На фото

2. На фото... Смотрите что за чем писать!

Приложения:
Вас заинтересует