• Предмет: Алгебра
  • Автор: sardorsobirov990
  • Вопрос задан 7 лет назад

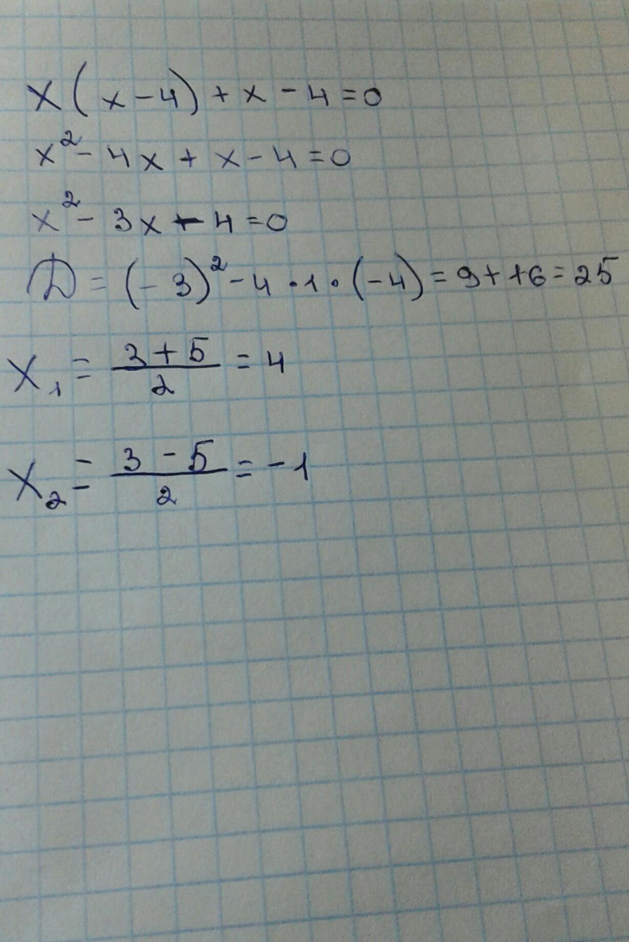
x (x-4) + X-4 = 0;
пж​

Ответы

Ответ дал: aylar08
1

Объяснение:

на картинке надеюсь понятно

Приложения:

sardorsobirov990: Я подписался на тебя
sardorsobirov990: ой а 2где???
sardorsobirov990: ???
sardorsobirov990: неправильно
sardorsobirov990: ???
sardorsobirov990: ты что
sardorsobirov990: ???
aylar08: что именно неправильно?
sardorsobirov990: аа все я неправильно понял извините
aylar08: ничего страшного
Вас заинтересует