• Предмет: Алгебра
  • Автор: diiiiiiamoooonds
  • Вопрос задан 7 лет назад

помогите пж срочнооо?​

Приложения:

Ответы

Ответ дал: larisaserova53
1

Ответ:

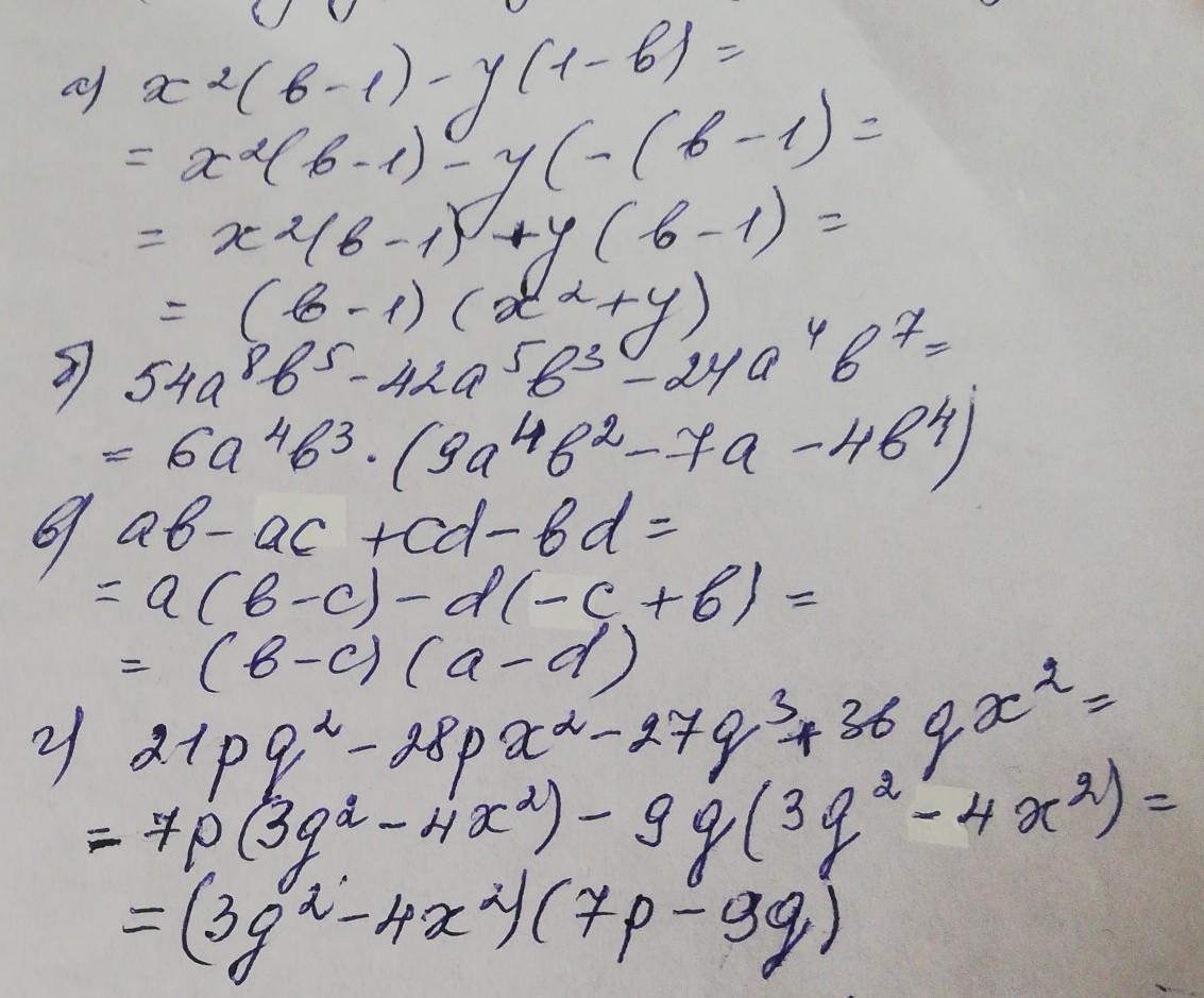
Смотри решение на фото...

Приложения:
Ответ дал: Ляляляля109
0

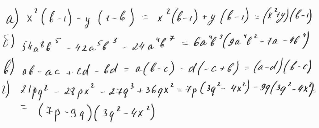
Решение представлено на фото

Приложения:
Вас заинтересует