Встановити коефіцієнти йонно-електронним методом в рівнянні окисно-відновної реакції, вказати
процеси окиснення та відновлення, речовини окисники та відновники:
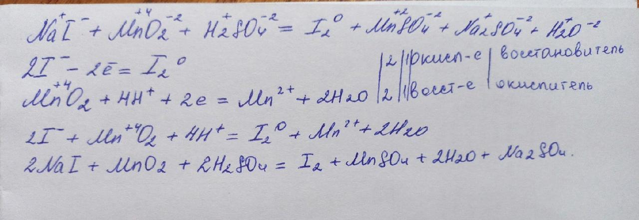
NaI+MnO₂+ H₂SO₄= I₂ + MnSO₄+Na₂SO₄+H₂O
Ответы
Ответ дал:
1
Ответ прикрепила в файле ниже)
Приложения:

Вас заинтересует
2 года назад
2 года назад
2 года назад
2 года назад
8 лет назад
8 лет назад
9 лет назад