• Предмет: Геометрия
  • Автор: kkak58
  • Вопрос задан 7 лет назад

ПОМОГИТЕ ПОЖАЛУЙСТА!!!
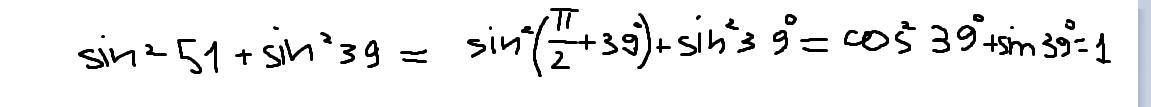
sin²51+sin²39²​

Ответы

Ответ дал: hochupitsu21
1

Ответ:1

Объяснение:

решил в PAINT  чтоб было понятнее

Приложения:

kkak58: что значит П ?
hochupitsu21: это пи число пи - это задача решается через формулу привидение
kkak58: понял, спасибо большое вам!
Вас заинтересует