• Предмет: Алгебра
  • Автор: alenakoroleva1
  • Вопрос задан 10 лет назад

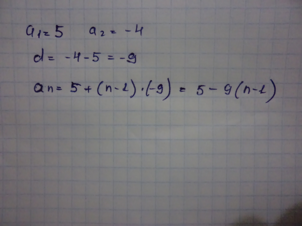
В арифметической прогрессии а1=5, а2=-4 .Запишите форму общего члена.

Ответы

Ответ дал: Mydrый
0
решениееееееееееееееееееееееееееееееее
Приложения:
Вас заинтересует