• Предмет: Алгебра
  • Автор: gormashartem
  • Вопрос задан 7 лет назад

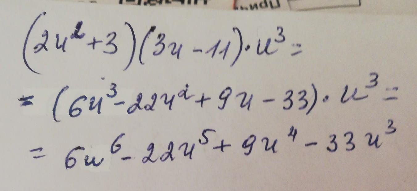
Выполни действия: (2u2+3)⋅(3u−11)⋅u3.

Ответы

Ответ дал: kiravladirovich
1

Ответ:

(6u3 -22u2 +9u-33)*u5 =6u8 -22u7 +9u6 -33u5


larisaserova53: Откуда взяли u^5,в задании u^3
larisaserova53: Исправляйте!!!
Ответ дал: larisaserova53
1

Ответ:

Смотри решение на фото...

Приложения:
Вас заинтересует