Ответы
Ответ дал:
0
Ответ:
Пошаговое объяснение:
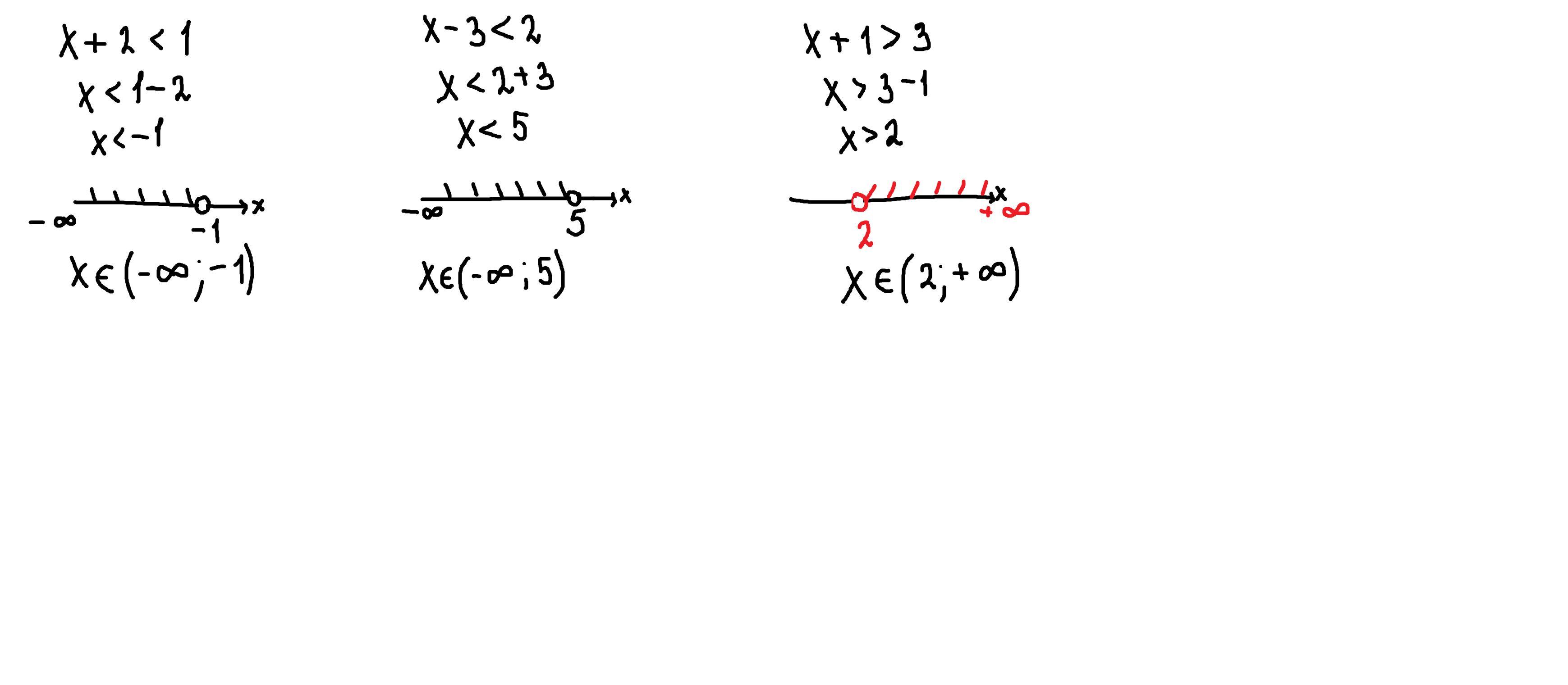
решение внизу
неравенства строгие,поэтому точки не закрашены и скобки круглые
Приложения:

Вас заинтересует
2 года назад
2 года назад
2 года назад
8 лет назад
9 лет назад