Срочно!!!разложите на множители квадратный трехчлен .номер 6 на фото
Приложения:

ui1181974:
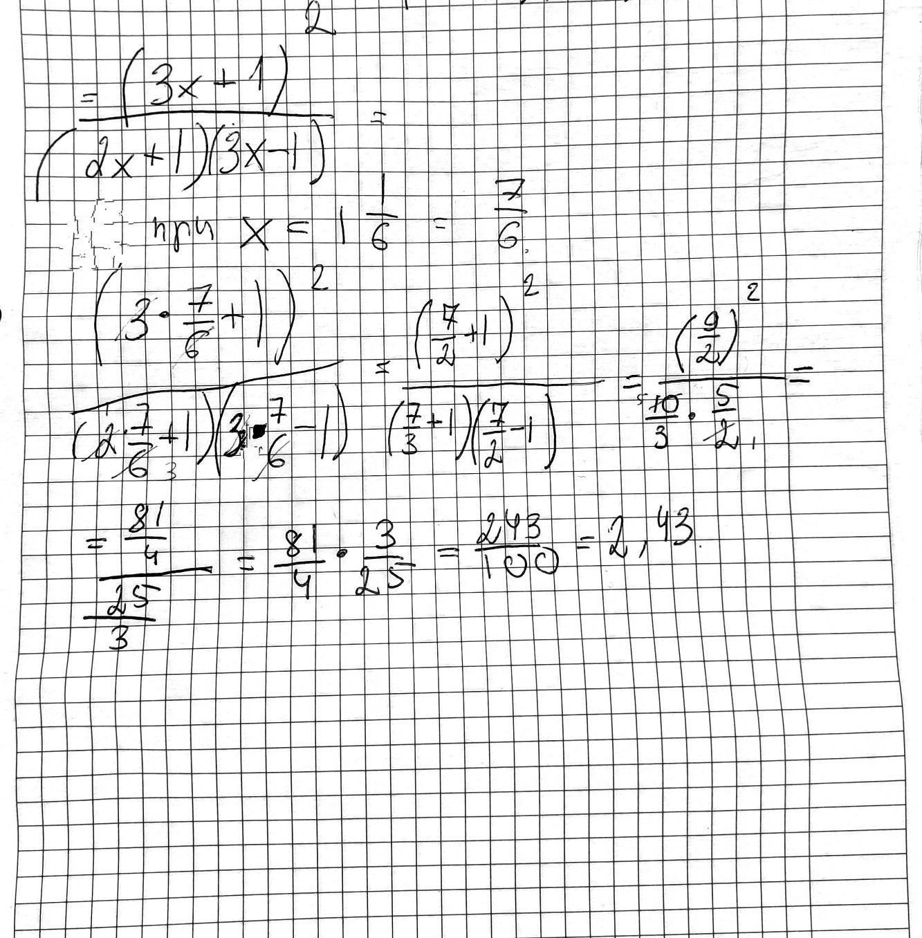
простите. нужно сократить дробь
Ответы
Ответ дал:
0
Пошаговое объяснение:
сначала, по отдельности решим эти трехчлены, как кв. уравнения :
9х²+6х+1=0
D= 36-36=0
x -6/18= -2/6=-1/3
6x²+x-1=0
D= 1+24=25
x=( -1±√25)/12
x=-0.5
x=4/12=1/3
теперь разложим эти трехчлены на множетели:
1)9(х+1/3)²
2)6(х+0.5)(х-1/3)
теперь запишем их вместе
(9(х+1/3)²)/6(х+0.5)(х-1/3)
Приложения:

Вас заинтересует
2 года назад
2 года назад
2 года назад
2 года назад
8 лет назад
8 лет назад
9 лет назад