• Предмет: Алгебра
  • Автор: leradulger2007
  • Вопрос задан 7 лет назад

помогите пожалуйста с алгеброй 8 класс ​

Приложения:

Ответы

Ответ дал: parus77
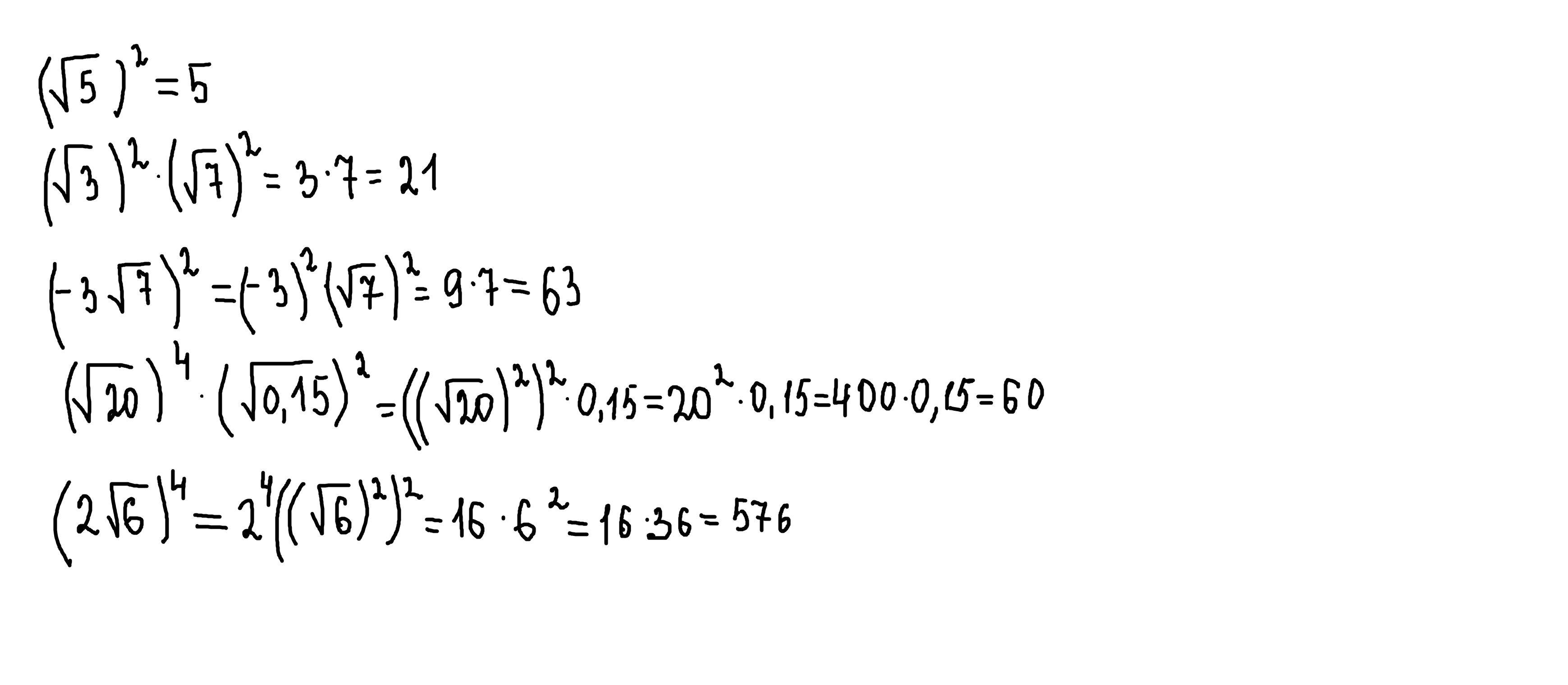
1

Ответ:

Объяснение:

решение внизу

Приложения:
Вас заинтересует