• Предмет: Алгебра
  • Автор: SadchikovaPolina
  • Вопрос задан 7 лет назад

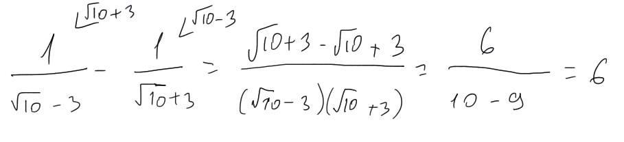
Найдите значение выражения:

Приложения:

Ответы

Ответ дал: Warlock1
1

Ответ:

ну дык

Объяснение:

Приложения:
Вас заинтересует