• Предмет: Математика
  • Автор: rjwxy2h8nf
  • Вопрос задан 7 лет назад

решите пожалуйста примеры

Приложения:

Ответы

Ответ дал: alexrout
1

Ответ:

Пошаговое объяснение:

Приложения:
Ответ дал: Anastaramm
0

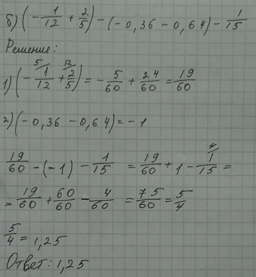
а) -4,8+ ( 2\frac{2}{3} + \frac{5}{6} )= -4,8+\frac{21}{6}= - 4,8+3,5= - 1,3

б)
(-\frac{1}{12} +\frac{2}{5} ) - (-0,36-0,64) - \frac{1}{15} =(\frac{-5+24}{60})-(-1)- \frac{1}{15}=\frac{19}{60} +1- \frac{1}{15}= \frac{19}{60} +\frac{14}{15} =\frac{19+14*4}{60} =\frac{75}{60} =1\frac{1}{4} =1,25


Cohendd: Приветствую! У Вас аватар пылающая гитара. А у меня ник в честь Леонарда Коэна и его пылающей скрипки. Послушайте: Dance me или Аллилуйя. Это надо знать))
Вас заинтересует