Ответы
Ответ дал:
1
Ответ:
Объяснение:
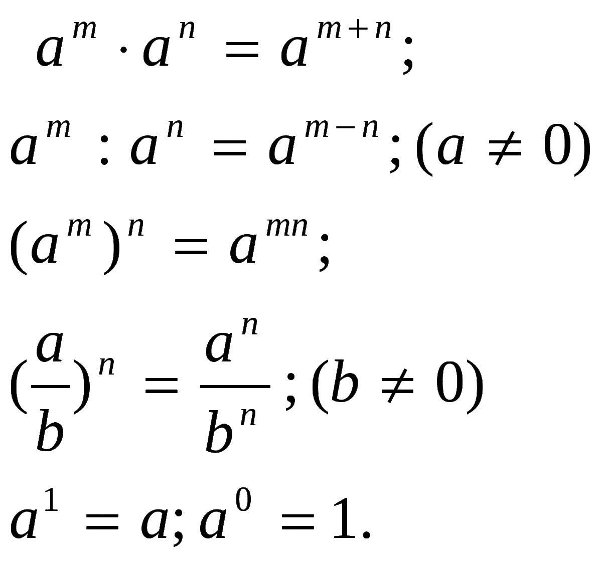
Правила работы со степенями и одинаковым основанием
Приложения:

kira59566:
спасибо✨✨✨
Вас заинтересует
2 года назад
2 года назад
2 года назад
8 лет назад
8 лет назад
9 лет назад