• Предмет: Геометрия
  • Автор: morkovi4blohey
  • Вопрос задан 7 лет назад

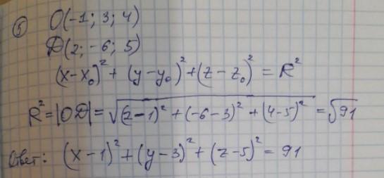
Сфера с центром в точке O(−1; 3; 4) проходит через точку D(2; −6; 5). Составьте уравнение данной сферы.
Задание 5 (20 баллов).

Ответы

Ответ дал: strictemagister
3

Ответ:

На фото

Объяснение:

Приложения:
Вас заинтересует