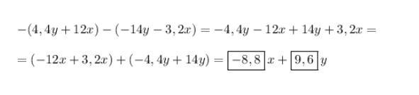
Раскрой скобки и упрости выражение.
(4,4y + 12x)-(-14y - 3,2х) =_х+_у.
Если коэффициент при переменной равен 1, то его нужно записать
Приложения:

Ответы
Ответ дал:
1
Ответ:
Если перед скобкой стоит минус, то это равносильно умножению на (-1)
В этом случае при раскрытии скобок знаки меняем на противополож-
ные .
Приложения:

vapvapav:
спасибо, но немного плохо видно: ответ -8,8х+9,6у ?
Вас заинтересует
2 года назад
2 года назад
2 года назад
8 лет назад
8 лет назад