• Предмет: Алгебра
  • Автор: kofiehik
  • Вопрос задан 7 лет назад

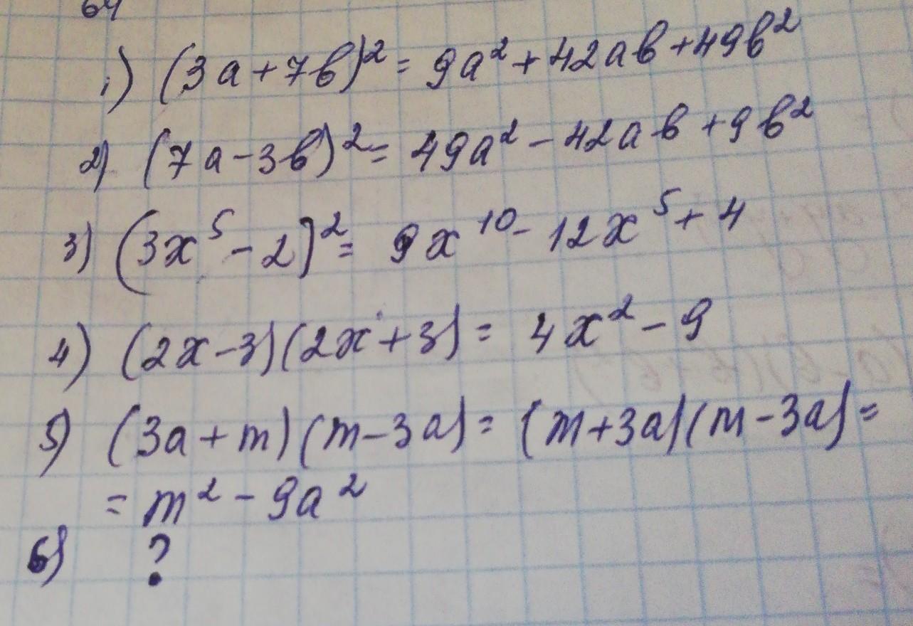
Вариант 2 1. Преобразуйте выражение: 1) (За +7b)2 2) (7а - Зb)2 3) (3x5 - 2)2 4) (2x - 3)(2x+3) 5) (За + m)(m - За) 6) (a®y + 2ь) (2 a®y + 2ь) 3 n​

Ответы

Ответ дал: larisaserova53
3

Ответ:

Смотри решение на фото..

Приложения:

larisaserova53: 6)пример непонятно что написано
larisaserova53: Что за буквы(ь) , что за значки в кружочке?
Вас заинтересует