Ответы
Ответ дал:
2
привет если я тебе помогла,сделай мой ответ лучшим пожалуйста
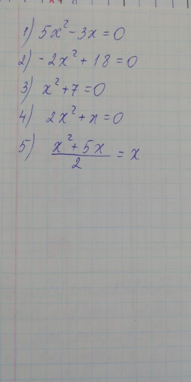
5x ²-3x=0
x*(5x-3)=0
x=0
5x-3=0
x=3/5
Ответ:x1=0,x2=3/5
2.-2x ²+18=0
x ²-9=0
x ²=9
x=+-3
x=-3
x=3
Ответ:x1=-3,x2=3
3.x ²+7=0
x ²=-7
Ответ:корней нет
4.2x ²+n=0
D=0 ²-4x*2n
D=-8n
фигурная скобка
-8n>0
-8n=0
-8n<0
Фигурная скобка
n<0
-8n=0
-8n<0
Ответ:
Фигурная скобка
n<0
n=0
n>0
5.x ²+5x/2=x
x*(x+5)/8x=x
x+5/8=x
x+5=8x
x=8x-5
-7x=-5
x=5/7
x≠0
x=5/7
Ответ:x=5/7
5x ²-3x=0
x*(5x-3)=0
x=0
5x-3=0
x=3/5
Ответ:x1=0,x2=3/5
2.-2x ²+18=0
x ²-9=0
x ²=9
x=+-3
x=-3
x=3
Ответ:x1=-3,x2=3
3.x ²+7=0
x ²=-7
Ответ:корней нет
4.2x ²+n=0
D=0 ²-4x*2n
D=-8n
фигурная скобка
-8n>0
-8n=0
-8n<0
Фигурная скобка
n<0
-8n=0
-8n<0
Ответ:
Фигурная скобка
n<0
n=0
n>0
5.x ²+5x/2=x
x*(x+5)/8x=x
x+5/8=x
x+5=8x
x=8x-5
-7x=-5
x=5/7
x≠0
x=5/7
Ответ:x=5/7
Вас заинтересует
2 года назад
3 года назад
3 года назад
8 лет назад
10 лет назад