Помогите плиз:*
№1
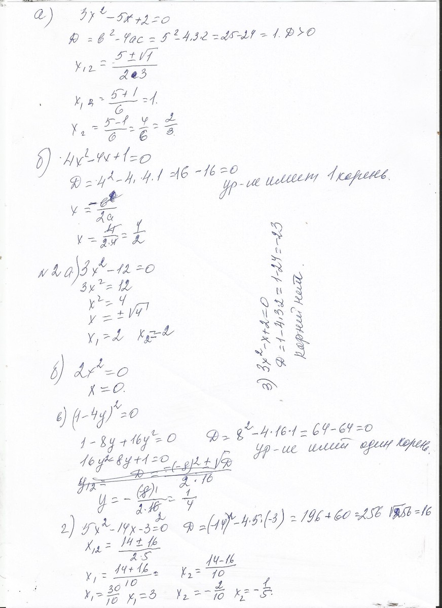
Определите сколько корней имеет уравнение:
А)Зх(в квадрате)-5х+2=0
Б)4х(в квадрате)-4х+1=0
№2
Решите уравнение:
А) 3х(в квадрате)-12=0
Б)2х(в квадрате)+6х=0
В)1-4у(в квадрате)=0
Г)5х(в квадрате)-14х-3=0
Д)Зх(в квадрате)-х+2=0
№3
Произведение двух натуральных чисел равно 273.Найдите эти числа,если одно из них на 8 больше другого.
Ответы
Ответ дал:
0
1)A 2 корня ,б)1 корень
2)а)3х^2-12=0
d=0+144=144(12)
x1=0+12/6=2
х2=0-12/6=-2
б)2x^2+6x=0
d=36-0=36(6)
x1=-6+6/4=0
x2=-6-6/4=-3
в)1-4y^2 -4y+1=0
d=0+16=16(4)
x1=0+4/2=2 x2=0-4/2=-2
г)5x^2-14x-3=0
d=196+60=356(16)
x1=14+16/10=3 x2=14-16/10=-2/10=-0,2
д)3x^2-x+2=0
d=1-24=-23 (нет корней)
3)пусть х меньшее число.следовательно (х+8) большее..Сост уравнение х(х+8)=273
х^2+8х-273=0
d=64+1092=1156(34)
x1=-8+34/2=13 x2=-8-34/2=-21
x3=13+8=21 x4=-21+9=-13
2)а)3х^2-12=0
d=0+144=144(12)
x1=0+12/6=2
х2=0-12/6=-2
б)2x^2+6x=0
d=36-0=36(6)
x1=-6+6/4=0
x2=-6-6/4=-3
в)1-4y^2 -4y+1=0
d=0+16=16(4)
x1=0+4/2=2 x2=0-4/2=-2
г)5x^2-14x-3=0
d=196+60=356(16)
x1=14+16/10=3 x2=14-16/10=-2/10=-0,2
д)3x^2-x+2=0
d=1-24=-23 (нет корней)
3)пусть х меньшее число.следовательно (х+8) большее..Сост уравнение х(х+8)=273
х^2+8х-273=0
d=64+1092=1156(34)
x1=-8+34/2=13 x2=-8-34/2=-21
x3=13+8=21 x4=-21+9=-13
Ответ дал:
0
1 число = х 2 число = х+8 х(х+8)=273 x²+8х - 273 =0 D= 8²-4·(-273) = 64 +1092= 1156 √1156= 34 х₁= -8 -34/2= -35 х₂ = -8+17 /2 = 9/2 = 4,5
Приложения:

Вас заинтересует
2 года назад
2 года назад
8 лет назад
10 лет назад
10 лет назад
10 лет назад