• Предмет: Алгебра
  • Автор: darkness49
  • Вопрос задан 7 лет назад

помогите 7 класс
p.s фото прикрепила​

Приложения:

Ответы

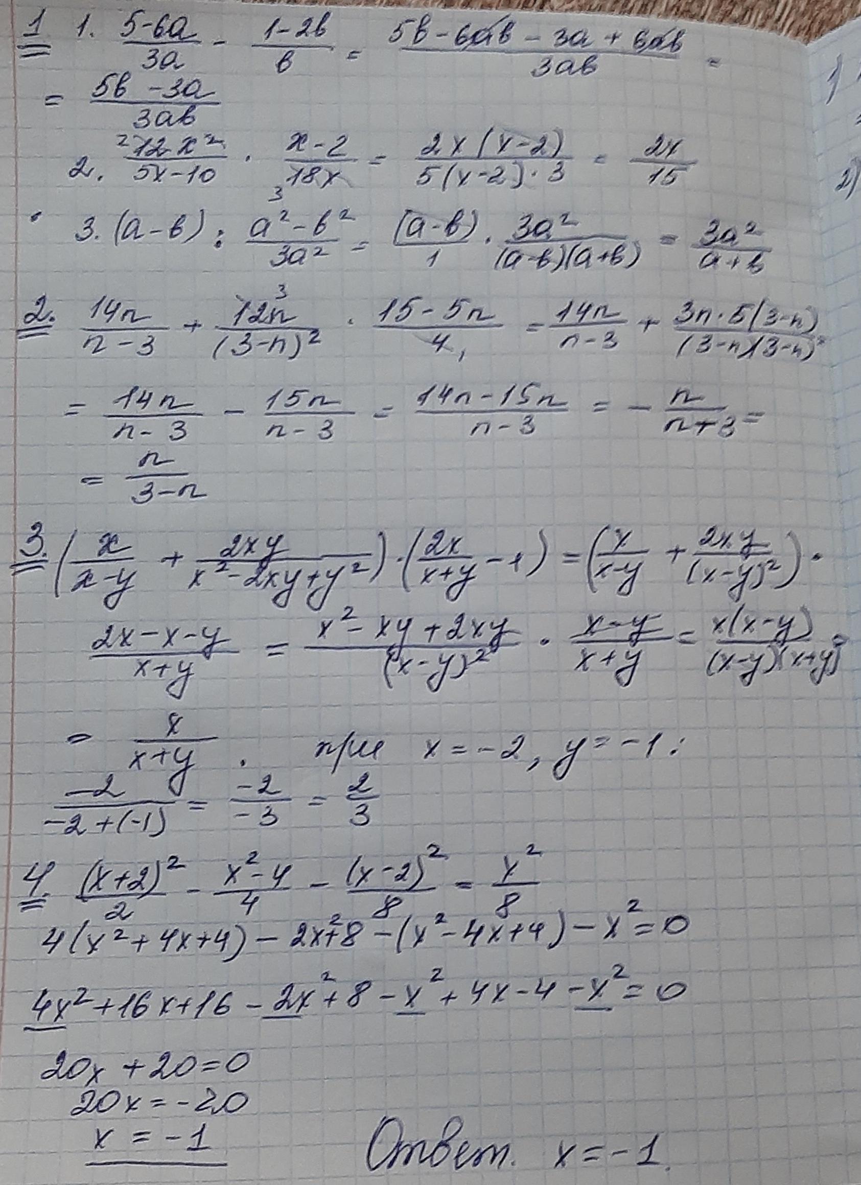
Ответ дал: Evreika77
1

Ответ:

Объяснение:

Смотри

Приложения:

darkness49: о боже, спасибо огромное!! <3
Вас заинтересует