• Предмет: Алгебра
  • Автор: putboksovds
  • Вопрос задан 7 лет назад

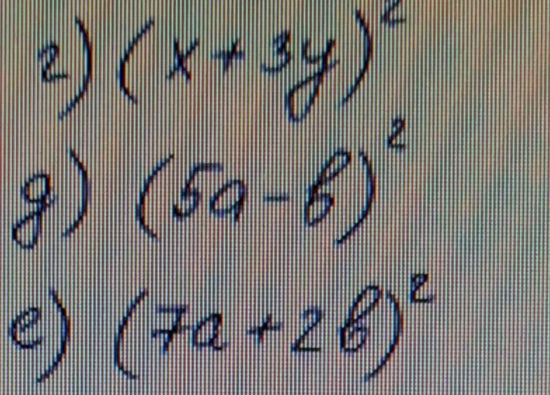
Срочно Алгебра 7 класс
Преобразовать в многочлен 3 примера

Приложения:

Ответы

Ответ дал: MusT1k
0

Объяснение:

Ответ о пояснения на фото

Приложения:
Ответ дал: nikkonwork
1

Ответ:

1) x^{2}  + 6xy+9y^{2} \\2)25a^{2} -10a+b^{2} \\3)49a^{2}  + 28ab + 4b^{2}

Объяснение:

по формуле сокращенного умножения (a±b)² = (a² ± 2ab + b²)

Вас заинтересует