• Предмет: Алгебра
  • Автор: putboksovds
  • Вопрос задан 7 лет назад

АЛГЕБРА 7 КЛАСС
3 ПРИМЕРА
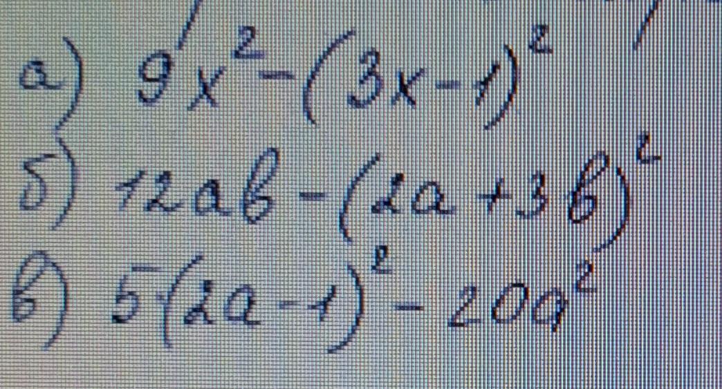
УПРОСТИТЬ ВЫРАЖЕНИЕ

Приложения:

Ответы

Ответ дал: Vivernar
0

Ответ:

По формулам сокращенного умножения

Объяснение:

9х²-(3х-1)²=(3х-(3х-1))(3х+(3х-1))=(3х-3х+1))(3х+3х-1)=6х-1

12ab-(2a+3b)²=12ab-(4a²+12ab+9b²)=12ab-4a²-12ab-9b²)= -4a²-9b²

5(2a-1)²-20a²=5(4a²-4a+1)-20a²=20a²-20a+5-20a²=-20a+5

Вас заинтересует