• Предмет: Математика
  • Автор: arinamonakhova1
  • Вопрос задан 7 лет назад

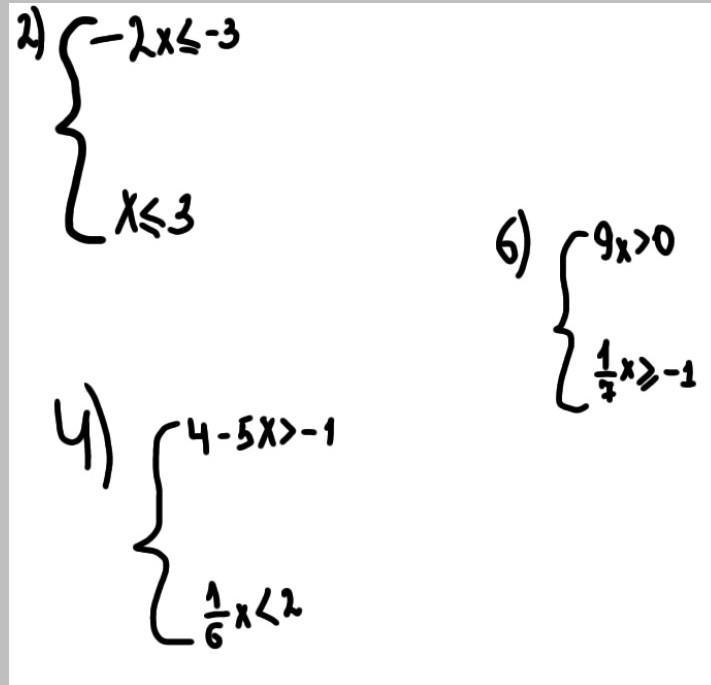
решите систему неравенств.
помогите пж.
даю 15 баллов.

Приложения:

Ответы

Ответ дал: абл
2

\left \{ {{-2x\leq 3} \atop {x\leq 3}} \right. \\\\\left \{ {{x\geq \frac{3}{2} } \atop {x\leq 3}} \right.

_________

\left \{ {{4-5x>-1} \atop {\frac{1}{6}x>2 }} \right. \\\\\left \{ {{x<1} \atop {x<12}} \right.

_________

\left \{ {{9x>0} \atop {\frac{1}{7}x\geq -1 }} \right. \\\\\left \{ {{x>0} \atop {x\geq -7}} \right.


arinamonakhova1: Спасибо
Вас заинтересует