• Предмет: Алгебра
  • Автор: finogeevaviktoria28
  • Вопрос задан 7 лет назад

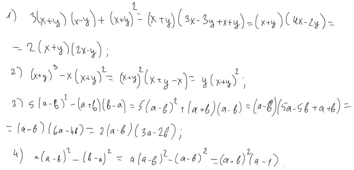
Разложить на множетели

1) 3(x+y)(x - y)+(x+y)²

2) (х+у)³-х(х+у)²

3) 5(а-b)²-(a+b)(b-a)

4) a(a-b)²-(b-a)²​

Ответы

Ответ дал: Warlock1
1

Ответ:

как-то так

Объяснение:

Приложения:

finogeevaviktoria28: спасибо
finogeevaviktoria28: а почему в 1ом примере 3х-3у. а не 3х+3у там же вроде +
Warlock1: х+у за скобки выносим, остаётся 3(х-у)
Вас заинтересует