• Предмет: Алгебра
  • Автор: Alenkaa8
  • Вопрос задан 7 лет назад

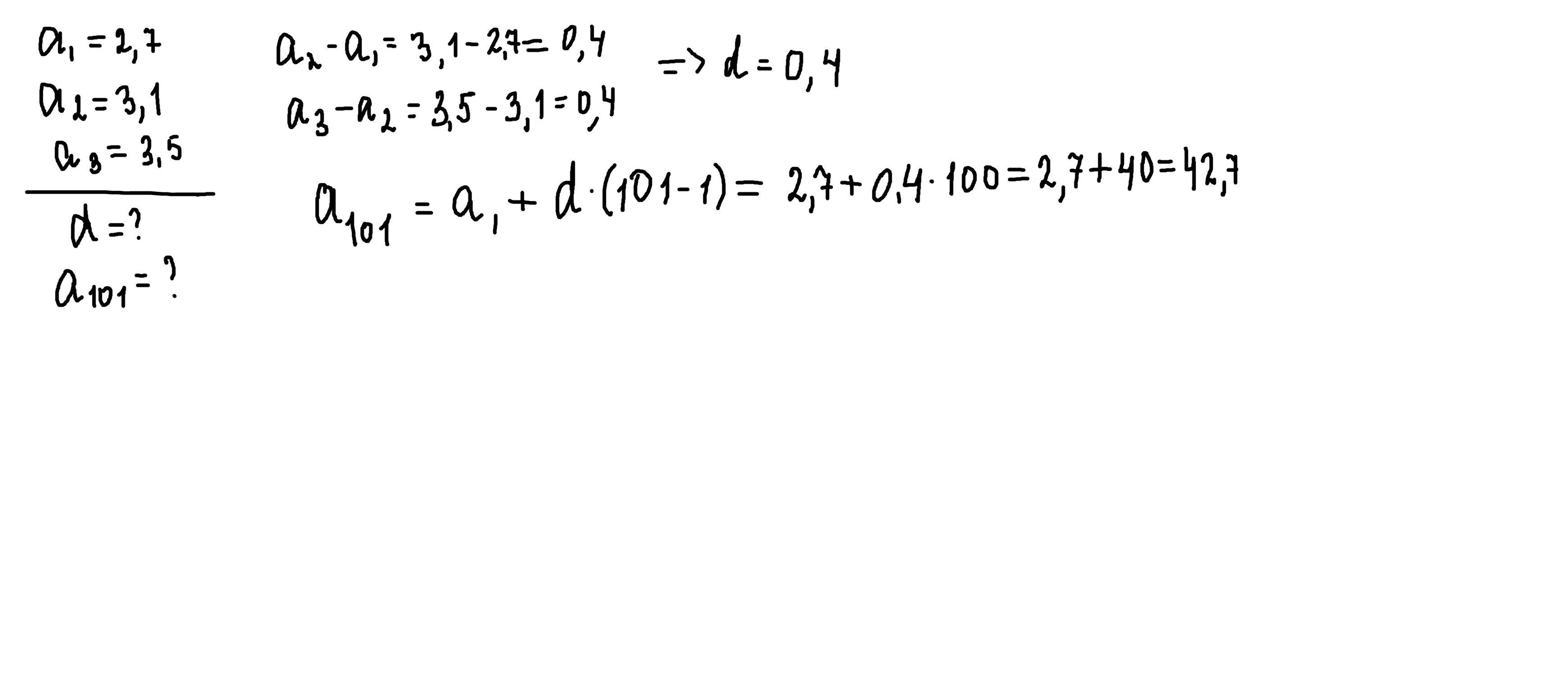
Найдите разность и 101-й член арифметической прогрессии: 2,7; 3,1; 3,5; … .

Ответы

Ответ дал: parus77
2

Ответ:

а 101= 42,7

Объяснение:

решение внизу

Приложения:
Вас заинтересует