• Предмет: Математика
  • Автор: alinaa46
  • Вопрос задан 7 лет назад

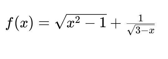
Найдите область определения функции
помогите пожалуйста ​

Приложения:

Ответы

Ответ дал: hallo123547
0

Ответ:

D(y) [1;3)пересечение(3;+бесконечности)

Пошаговое объяснение:

1. Составляем систему неравенств, где х^1-1>=0 и 3-х≠0. Отсюда следует, что х≠3 х>=1.

Вас заинтересует