• Предмет: Математика
  • Автор: Solnishko62
  • Вопрос задан 7 лет назад

НУЖНЫ ТОЛЬКО 2И 3НОМЕР СРОЧНО

Приложения:

Ответы

Ответ дал: larisaserova53
0

Ответ:

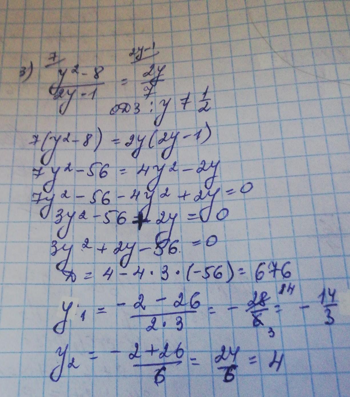
Смотри решение на фото ...

Приложения:

Solnishko62: Там нет такого ответа
larisaserova53: посмотри под буквой А) там точно минцюуса нет в ответах
Solnishko62: Ок
larisaserova53: ответ должен быть с минусом 14/3
Solnishko62: А 3номер?
larisaserova53: ну что?
larisaserova53: там 2 фото 2 и 3 номер, смотри внимательнее
Вас заинтересует