Решите уравнение. Если уравнение имеет более 1 корня, в ответ запишите меньший из корней

Ответы
Ответ:
Объяснение:
!!!!!!!!!!!!!!!!!!!!!!!!!!


Ответ:
В решении.
Объяснение:
Решите уравнение.
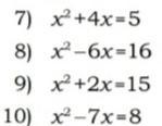
7) х² + 4х = 5
↓
х² + 4х - 5 = 0
D=b²-4ac = 16 + 20 = 36 √D=6
х₁=(-b-√D)/2a
х₁=(-4-6)/2
х₁= -10/2
х₁= -5;
х₂=(-b+√D)/2a
х₂=(-4+6)/2
х₂=2/2
х₂= 1; В ответе х = -5;
8) х² - 6х = 16
↓
х² - 6х - 16 = 0
D=b²-4ac = 36 + 64 = 100 √D=10
х₁=(-b-√D)/2a
х₁=(6-10)/2
х₁= -4/2
х₁= -2;
х₂=(-b+√D)/2a
х₂=(6+10)/2
х₂=16/2
х₂= 8; В ответе х= -2;
9) х² + 2х = 15
↓
х² + 2х - 15 = 0
D=b²-4ac = 4 + 60 = 64 √D=8
х₁=(-b-√D)/2a
х₁=(-2-8)/2
х₁= -10/2
х₁= -5;
х₂=(-b+√D)/2a
х₂=(-2+8)/2
х₂=6/2
х₂= 3; В ответе х = -5;
10) х² - 7х = 8
↓
х² - 7х - 8 = 0
D=b²-4ac = 49 + 32 = 81 √D=9
х₁=(-b-√D)/2a
х₁=(7-9)/2
х₁= -2/2
х₁= -1;
х₂=(-b+√D)/2a
х₂=(7+9)/2
х₂=16/2
х₂= 8; В ответе х = -1.