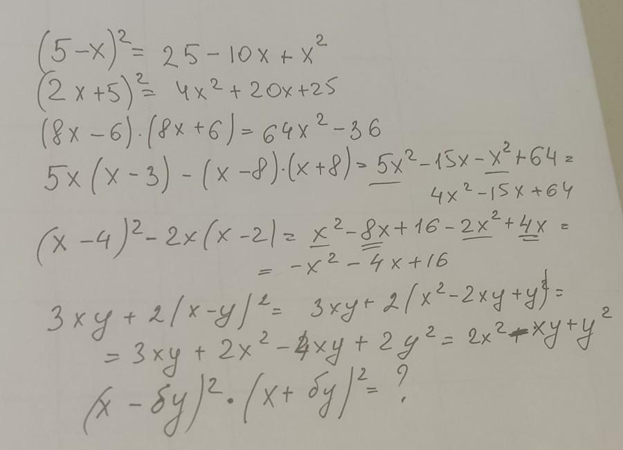
1. Выполните действия :
а) (5-x)²
б) (2x+5)²
в) (8x-6) (8x+6)
г)5x(x-3)-(x-8)(x+8)
д) (x-4)²-2х(х-2)
е) 3xy +2(x-y)²
ж) (х-бу)² (х+бу)²
Ответы
Ответ дал:
1
Ответ:
смотри фото
Объяснение:
в последнем не поняла что такое б и знак между скобками есть или нет?
Приложения:

0811dasha200:
последнем б это 6 и знака там нет
Ответ дал:
0
Ответ:
а) (5 - x)² = (5 - x)(5 - x) = 25 - 5x - 5x + x² = x² - 10 x + 25
б) (2x + 5)² = (2x + 5)(2x + 5) = 4x² + 10x + 10x + 25 = 4x² + 20x + 25
в) (8x - 6)(8x + 6) = 64x² + 48x - 48x - 36 = 64x² - 36
г) 5x(x - 3) - (x - 8)(x + 8) = 5x² - 15x - (x² + 8x - 8x - 64) = 5x² - 15x - x² - 8x + 8x + 64 = 4x²- 15x + 64
д) (x - 4)² - 2x(x - 2) = (x - 4)(x - 4) - 2x(x - 2) = x² - 4x - 4x + 16 - 2x² + 4x = -x² - 4x - 16
е) 3xy + 2(x - y)² = 3xy + 2(x - y)(x - y) = 3xy + 2(x² - xy - xy + y²) = 3xy + 2x² - 2xy - 2xy + 2y² = 2x² + 2y² - xy
ж) (x - by)² × (x + by)² = b⁴y⁴ - 2b²x²y² + x⁴
Вас заинтересует
2 года назад
2 года назад
2 года назад
8 лет назад
8 лет назад
9 лет назад