Ответы
Ответ дал:
1
Ответ:
смотри фото
Объяснение:
смотри фото
Приложения:

Ответ дал:
1
Ответ:
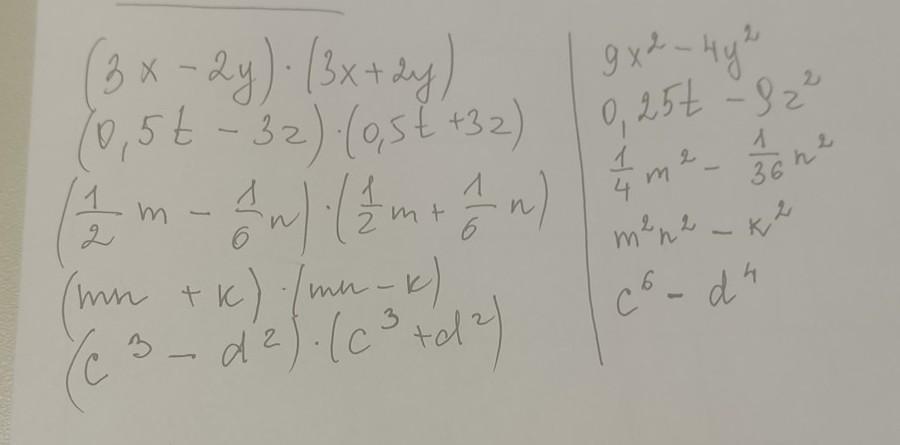
2. (3x-2y)(3x+2y)
9x²-4y²
3. (0,5t-3z)(0,5t+3z)
0,25t²-9z
4. (1/2m-1/6n)(1/2m+1/6n)
1/4m²-1/36n²
5. (mn-k)(mn+k)
m²n²-k²
6. (c³-d²)(c³+d²)
c⁶-d⁴
Вас заинтересует
2 года назад
2 года назад
2 года назад
2 года назад